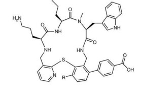
一种全新种类的抗生素和一种很有前景的临床候选药物zosurabalpin能够对抗主要病原体鲍曼不...
26
2025-04-10
卡塔尔多哈:备受期待的首届卡塔尔船舶展2024拉开了令人难以置信的美好开...
25
2025-04-10
卡塔尔多哈:2023年多哈世博会宣布开幕世博会粉丝区,这是世博会文化区内...
27
2025-04-10
贾斯珀县,爱荷华州- 蒙特祖玛学区的领导们表达了他们的感激之情,他们说,...
22
2025-04-10
指挥家约翰·艾略特·加德纳爵士宣布,他将辞去蒙特威尔第合唱团和管弦乐团的...
22
2025-04-10
迪拜统治者旗下的一家投资集团正在考虑将其房地产投资组合中的商业和住宅单元...
23
2025-04-10
爱尔兰银行(Bank of Ireland)将于11月支付自十多年前金融...
25
2025-04-10
考虑到2025计划的条款可能将色情定为犯罪,一群色情明星正在跳入2024年的选举,推...
28
2025-04-10
美国洛杉矶:一名退休的加州公路巡警偶然发现了一批迈克尔·杰克逊尚未发行的...
27
2025-04-10
普特拉贾亚:两架马来西亚皇家海军直升机在霹雳州卢穆特相撞,导致10名军官...
19
2025-04-10
最新评论